
Once physicists quantified diverse parts of the natural world, they tried to surmise the relationship among various quantities.
For example, physicists have quantified the rate at which objects fall. It is due to the mass of the object and the force of gravity.
However, to represent these relationships in a visually appealing manner, models, equations, charts, and graphs are utilized.
Physics answers numerous questions. It tries to demonstrate how the universe is made, what makes the stars shine, and so many other things.
And not only this, but it is also allocated to various activities that aid in the development of computer games, the production of energy, and the curing of diseases.
So, after knowing it all, there is no rocket science in believing that physics is one of the most applicable fields of study.
But physics, too, has mathematical problems that can sometimes cause headaches for many students.
Exams turn into a nightmare for students who neglected their books all year and for those who find it hard to learn physics.
But there are some effective study habits that can help you increase your interest in this field.
And you don't have to worry about it; this article has curated the top five tips for how to study physics. Just follow these, and you're sure to see great changes in your learning.
In this article
5 Tips for Studying Physics
Here are five tips for studying Physics.
Focus On Your Base
It cannot be denied that Physics is an amalgam of numerous theories, formulae, derivations, equations, and so on. So, to keep track of everything in mind, you need to focus on your base and try to make it even stronger.
Certainly, you cannot mug up complex formulae at a glance, so it is always smart and effective to focus on the basics, so you do not stray from the field.
Creating a mind map can help you learn physics easily. Here is an example:

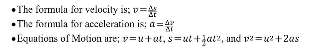
Command on Basic Equation
To learn physics more effectively, you need to keep your foundation strong. Like so, you must know the science behind the basic physics equation.
Classical mechanics, energy formulae, mass, force, and a lot of these are the basics of Physics. These rubrics have the answer to how to study physics effectively.
Some basic formulae are as follows:

If you have a command of basic formulae like these, then learning physics will be your cup of tea!
Math Is the Key
The third astounding tip to study physics effectively is to keep your math game strong. Math plays a crucial role in the field of physics.
There is always a medium to travel, and the medium of physics is Math. Without math, you can catch physics pointers efficiently.
Algebra, trigonometry, calculus, geometry, and linear algebra are the topics that can help you to understand physics easily, and if you are thinking about how to learn physics effectively, then here is a mind map of math basics pointers.

Do Not Forget the SI Units
The SI units might seem dainty, but these are not. The SI unit can create a massive difference.
For instance, if you have completed a numerical sum and forget to write the unit, or if you might have used the wrong one, it's like making a flavorsome trifle and adding salt instead.
COMPLETE WASTE! Likewise, using the wrong or completely ignoring the SI unit can make your document trash. Here are the SI units to help you in some way:
| Quantity | Name of the Unit | Symbol |
| Length | Meter | m |
| Mass | Kilogram | kg |
| Time | Seconds | s |
| Electric Current | Ampere | A |
| Temperature | Kelvin | K |
| Luminous Intensity | Candela | cd |
| Amount of Substance | Mole | mol |
Focus on Illustrations
Visual learning is always effective and works more promptly. Whether it is a drawing, a graph, a doodle, or an image, every visual illustration will help you to understand physics easily.
Also, learning from graphs or pictures can help you to memorize more.

Graph 01: Uniform Velocity
The above figure shows the distance traveled in a particular direction over a certain time, indicating a uniform velocity.
The reason behind this graph is to show you that visual illustration is far more effective than a written document. Here is an example.
Roadmap for Learning Physics Efficiently
Studying physics effectively takes time, structure, and active practice. A clear roadmap can help you progress from basic understanding to confident problem-solving.
Below is a step-by-step plan made with Wondershare EdrawMind to improve your grasp of physics topics.
Week 1: Build Your Foundation
Start by reviewing essential math skills like algebra, trigonometry, and calculus. Familiarize yourself with core concepts such as force, motion, energy, and gravity. Use flashcards or mind maps to connect formulas with their meanings.
Week 2: Organize by Topics
Divide your study plan by chapters or units. These are mechanics, thermodynamics, electricity, magnetism, and waves. Create a visual overview for each section using mind maps. This helps you see how subtopics like velocity, acceleration, and friction relate within one theme.
Week 3: Practice Numerical Problems
Apply what you’ve learned by solving sample exercises daily. Focus on understanding formulas rather than memorizing them. Use problem-solving steps like identifying knowns, unknowns, and applicable equations before calculating.
Week 4: Strengthen Conceptual Understanding
Go beyond memorization. Use diagrams, graphs, and lab demonstrations to visualize abstract ideas like electric fields or energy transfer. Study example problems from textbooks and online videos to see real-world applications.
Week 5: Review and Test Yourself
Summarize each topic into a single mind map. Test your recall by explaining key laws like Newton’s or Ohm’s in your own words. Take timed practice tests to simulate exam conditions and track your progress.
Week 6 and Beyond: Reinforce and Reflect
Regularly review past materials to avoid forgetting older lessons. Update your study maps as you learn more advanced concepts. Reflect on what study methods worked best for you and refine your approach for continuous improvement.
A structured roadmap keeps your learning organized, helps you identify weak points, and builds steady progress toward mastering physics.
Physics Study Resources You Can Use
Learning physics becomes easier when you have the right resources to support your study plan. These tools can help you visualize theories, solve problems, and stay consistent with your practice routine.
Books and PDFs
- Start with standard references like Fundamentals of Physics by Halliday and Resnick or Concepts of Physics by H.C. Verma. These books explain theories with examples and exercises.
- You can also find downloadable PDFs summarizing formulas and problem sets for quick review before exams.
Video Lectures and YouTube Channels
- Watch educational channels such as Physics Girl, MinutePhysics, and Khan Academy Physics. They simplify complex concepts using animation and real-world demonstrations.
- Video tutorials are great for visual learners who benefit from seeing theories applied in motion.
Practice Websites and Simulators
- Websites like PhET Interactive Simulations and HyperPhysics let you explore interactive experiments online.
- You can manipulate variables and see how forces, energy, and momentum behave in different situations.
Study Planners and Templates
- Use downloadable physics planners or templates to organize goals, formulas, and solved examples.
- Digital templates help you track your study hours and mark progress across topics like electricity, magnetism, and optics.
Mind Mapping and Note Apps
- Mind maps like EdrawMind or similar tools let you turn written notes into connected diagrams.
- These visuals simplify relationships between formulas and theories. Tools like EdrawMind help you remember them more effectively during revision.
Combine books, simulations, and visual tools to create a balanced approach. It can improve both your conceptual understanding and problem-solving confidence.
Here’s a mind map to help you find physics resources online:
How To Boost Efficiency With a Mind Map
Studying physics involves understanding complex laws, equations, and real-world applications.
Mind maps like EdrawMind make these ideas easier to organize. The tool turns detailed lessons into simple, connected visual outlines.
They help you visualize how forces, formulas, and principles relate to one another. With visual study maps, you can summarize chapters. It can help you highlight formulas and review faster before exams. This improves comprehension, recall, and problem-solving efficiency.
Here are the main features that help you study physics:

AI Study Guide Planner
Enter topics like “Newton’s Laws,” “Thermodynamics,” or “Electromagnetism.” The tool creates a detailed study map with branches for formulas, examples, and definitions. It can help structure your physics review.
File to Slide Task Map
Upload lab notes, lecture handouts, or research PDFs. The tool organizes them into visual layouts. They help you follow concepts like motion, energy, and electricity with clarity.
Pic to Mind Map
Take photos of board notes, problem sets, or experiment diagrams. The system arranges them into editable digital maps you can review anytime to reinforce key theories and examples.
AI Mapping
Type topics such as “Quantum Mechanics,” “Kinematics,” or “Optics.” The AI automatically builds connected maps. It can show how equations and phenomena relate across chapters.
Concept Map Maker
Link related ideas like “Force” to “Acceleration” or “Voltage” to “Current.” Seeing these links deepens understanding and makes it easier to remember physical relationships.
Text to Mind Map Maker
Paste important terms, formulas, or short notes. The tool transforms them into a clean mind map layout that boosts focus, memory, and study efficiency.
Using mind maps helps turn complex physics content into simple visuals. They make formulas, laws, and relationships clearer. They allow you to study smarter and retain more information before exams.
Here’s a sample mind map generated with EdrawMind on how to study Physics with ease:
This mind map shows a complete strategy for studying physics. It begins by emphasizing the need to understand fundamental laws and math skills. These serve as the base for solving more complex topics later in the course.
The next stage highlights active learning methods like creating diagrams, practicing problems, and connecting ideas to real-world examples. These steps help visualize abstract principles and strengthen long-term understanding through repetition and application.
Finally, the mind map encourages regular review and self-assessment. By summarizing lessons, testing knowledge, and tracking mistakes, learners can identify weak areas early and steadily build confidence in mastering core physics concepts.
Conclusion
The above five tips can be followed to learn physics. Physics is a very important subject. It is crucial to concentrate on the subject from the very beginning and clear the basic concepts.
The advancement of technology and other resources ensures you're ready for your examination.
And those students who find physics a boring subject or don't feel like studying it at all can run through the five tips mentioned above.
However, learning physics with the right understanding can help you contribute significantly to this field. So, be a leader of physics by following these top five tips mentioned above.
FAQ
-
Why is math important in physics?
Math is the language of physics. It allows you to express relationships between quantities, such as force, velocity, or energy. Strengthen your skills in algebra, calculus, and trigonometry. It helps you understand and solve physics equations. -
What is the best way to memorize physics formulas?
Rather than rote memorization, focus on understanding how each formula is derived and where it applies. Create a formula sheet or mind map linking related equations. Practicing problems daily reinforces memory through application, not repetition. -
How can visual learning improve my understanding of physics?
Visuals like graphs, diagrams, and charts simplify abstract ideas such as motion or force. They show relationships between variables more clearly. Mind maps and simulation tools make it easier to see how equations behave in real-world examples. -
How can I make physics more interesting?
Relate physics theories to real life. Think about how Newton’s Laws explain car motion or how thermodynamics applies to cooking. Watching experiments or simulations brings lessons to life. It helps you connect with the subject more naturally. -
How can I use EdrawMind for studying physics?
EdrawMind helps you build visual study maps for each chapter. You can organize formulas, diagrams, and notes in one place. The AI mapping tools also generate structured layouts from your topics. It makes study sessions faster and more interactive.